USPS Post Office

LOUISVILLE, Ky. (WDRB) -- The United States Postal Service kept a few post offices open Monday despite the federal holiday of Presidents Day.

Four locations in the Kentuckiana District remained open for customers to drop off mail, make retail transactions and apply for passports. A spokesperson for the district said it’s not normal to be open on federal holidays, but they are testing the concept on this non-widely observed holiday.

“This is something that we’re trying,” said Susan Wright, a spokeswoman for the USPS Kentuckiana District. “This is a sign of the times. The Postal Services is willing to change and meet our customer demands.”

The Postal Service has offered passport services for years, and Wright said they expect to see an increase in customers applying for passports ahead of October.

“We realize it’s a growing concern for travelers with the deadline coming for the Real ID,” Wright said. “And we are certainly going to be ready for customers who choose to get a passport versus the Real ID.”

Starting Oct. 1, a federally recognized Real ID will be required to have in order to do things like get on a military base or a domestic flight. Without a Real ID, then a person will need to have a passport.

Currently, a person can only get a Real ID at the Kentucky Transportation Cabinet's headquarters in Frankfort, so some are opting to invest in a passport now.

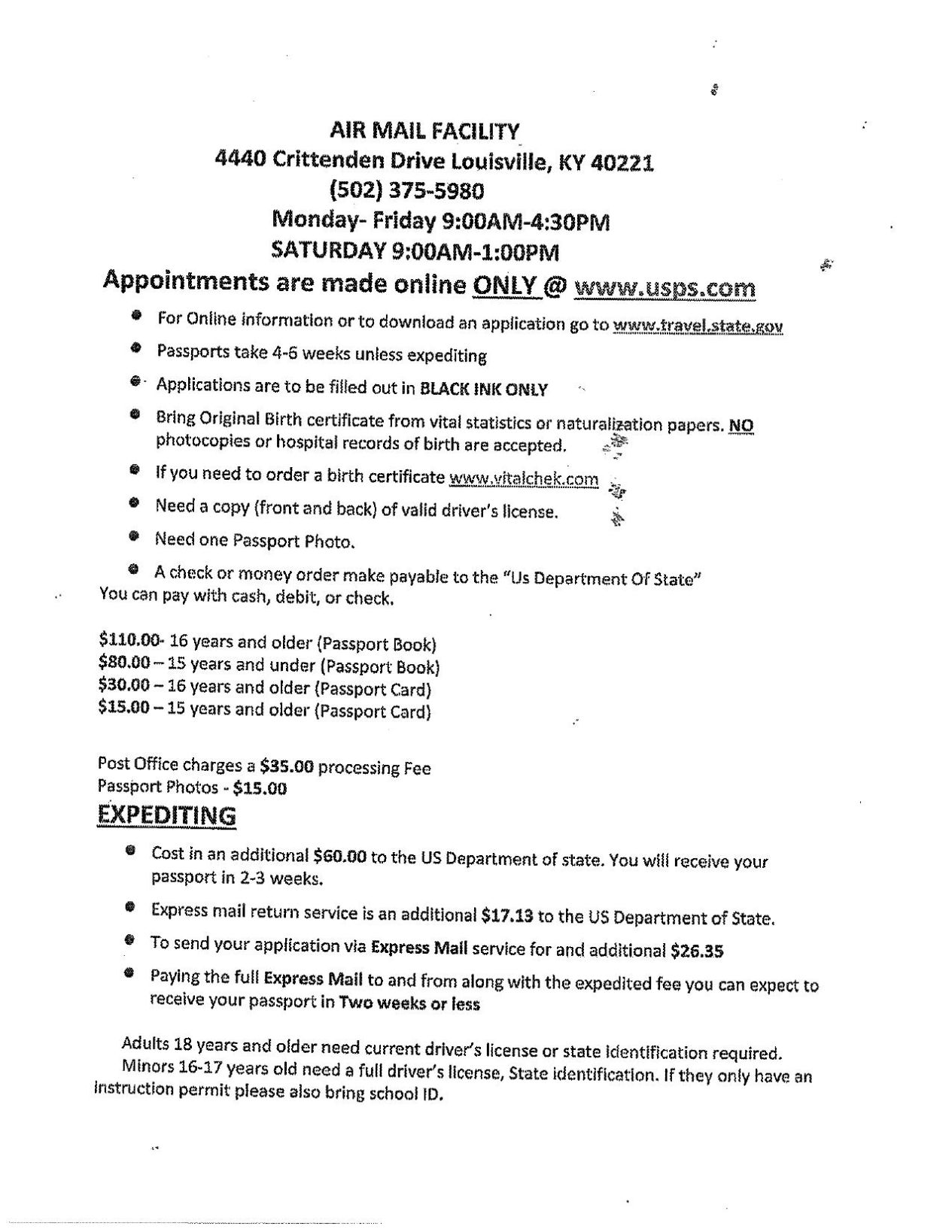
If you are looking to apply for a passport, the Postal Service offers the following advice:

Related Stories:

Copyright 2020 WDRB Media. All Rights Reserved.